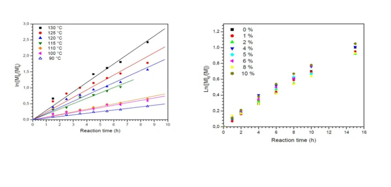
Electrode & Optoelectronic Materials - controlled / living solution polymerization

Quality by design optimization and scale-up of conductive and optoelectronic polymers via living / controlled polymerization processes, e.g. RAFT, ATRP, NMP, providing polymers with low polydispersity.

Overview
Electrode & Optoelectronic Materials   Controlled  Living Solution Polymerization
Workflow

Electrode & Optolectronic Materials - controlled / living solution polymerization

Migrated workflow: Electrode & Optolectronic Materials - controlled / living solution polymerization
Benefits
  • Controlled / living solution polymerization (e.g. NMP, RAFT, ATRP).
  • Individually controlled and operated polymerization reactors with proven process scalability.
  • Each reactor with its own set of conditions.
  • Overhead grvimetric dispensing of solids, liquids, viscous liquids for reaction prep
  • Up to 24 fully automated conductive and optoelectronic polymers synthesis with e.g. our AUTOPLANT POLY.
  • Data integrity.

Start Your Journey With Chemspeed

From innovation to quality, Chemspeed delivers automation & digitalization that grows with your lab.

© Chemspeed Technologies 2025